Официальное опубликование правовых актов
ОФИЦИАЛЬНОЕ ОПУБЛИКОВАНИЕ
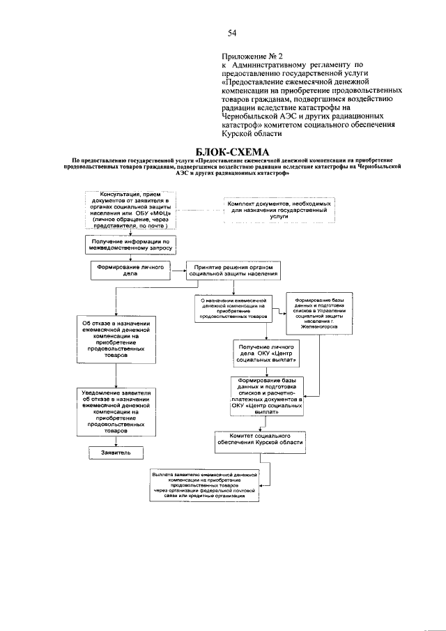
Приказ Комитета социального обеспечения Курской области от 15.10.2018 № 316 "О внесении изменений в Административный регламент по предоставлению органами местного самоуправления Курской области государственной услуги по переданным полномочиям в сфере социальной защиты населения Курской области "Предоставление ежемесячной денежной компенсации на приобретение продовольственных товаров гражданам, подвергшимся воздействию радиации вследствие катастрофы на Чернобыльской АЭС и других радиационных катастроф"
Номер опубликования: 4601201810220003
Дата опубликования: 22.10.2018
Страница №55 из 62:
Увеличить