Официальное опубликование правовых актов
ОФИЦИАЛЬНОЕ ОПУБЛИКОВАНИЕ
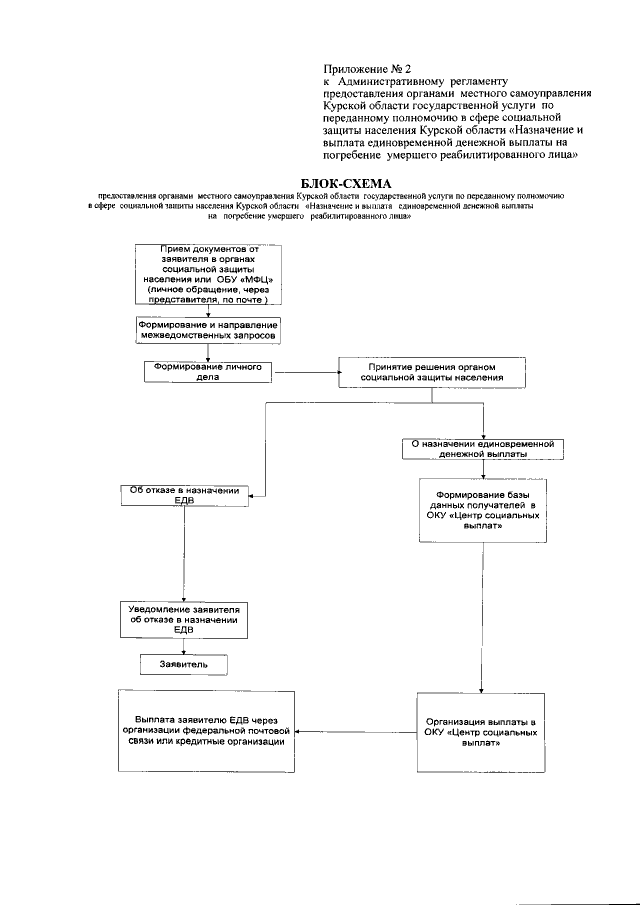
Приказ Комитета социального обеспечения Курской области от 09.10.2018 № 300 "О внесении изменений в Административный регламент предоставления органами местного самоуправления Курской области государственной услуги по переданному полномочию в сфере социальной защиты населения Курской области "Назначение и выплата единовременной денежной выплаты на погребение умершего реабилитированного лицам "
Номер опубликования: 4601201810110021
Дата опубликования: 11.10.2018
Страница №46 из 52:
Увеличить