Официальное опубликование правовых актов
ОФИЦИАЛЬНОЕ ОПУБЛИКОВАНИЕ
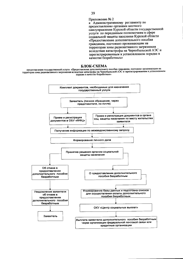
Приказ Комитета социального обеспечения Курской области от 05.10.2018 № 282 "О внесении изменений в Административный регламент по предоставлению органами местного самоуправления Курской области государственной услуги по переданным полномочиям в сфере социальной защиты населения Курской области "Предоставление дополнительного пособия гражданам, постоянно проживающим на территории зоны радиоактивного загрязнения вследствие катастрофы на Чернобыльской АЭС и зарегистрированным в установленном порядке в качестве безработных"
Номер опубликования: 4601201810110010
Дата опубликования: 11.10.2018
Страница №40 из 47:
Увеличить