Официальное опубликование правовых актов
ОФИЦИАЛЬНОЕ ОПУБЛИКОВАНИЕ
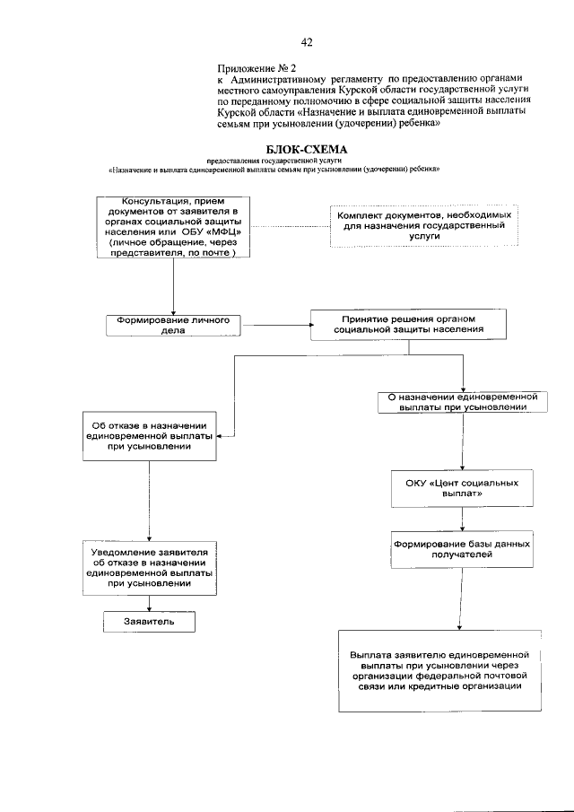
Приказ Комитета социального обеспечения Курской области от 08.10.2018 № 292 "О внесении изменений в Административный регламент по предоставлению органами местного самоуправления Курской области государственной услуги по переданному полномочию в сфере социальной защиты населения Курской области "Назначение и выплата единовременной выплаты семьям при усыновлении (удочерении) ребенка"
Номер опубликования: 4601201810110006
Дата опубликования: 11.10.2018
Страница №43 из 49:
Увеличить