Официальное опубликование правовых актов
ОФИЦИАЛЬНОЕ ОПУБЛИКОВАНИЕ
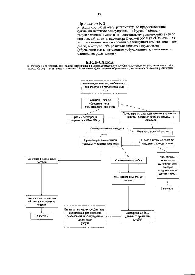
Приказ Комитета социального обеспечения Курской области от 08.10.2018 № 293 "О внесении изменений в Административный регламент по предоставлению органами местного самоуправления Курской области государственной услуги по переданному полномочию в сфере социальной защиты населения Курской области "Назначение и выплата ежемесячного пособия малоимущим семьям, имеющим детей, в которых оба родителя являются студентами (обучающимися), и студентам (обучающимся), являющимся одинокими родителями"
Номер опубликования: 4601201810110005
Дата опубликования: 11.10.2018
Страница №56 из 66:
Увеличить