Официальное опубликование правовых актов
ОФИЦИАЛЬНОЕ ОПУБЛИКОВАНИЕ
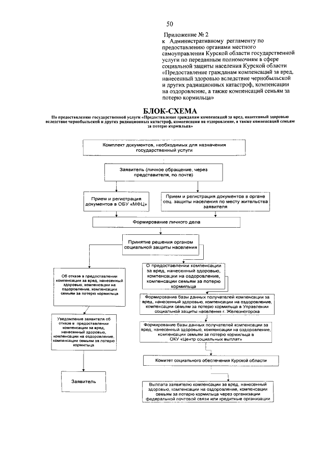
Приказ Комитета социального обеспечения Курской области от 10.10.2018 № 306 "О внесении изменений в Административный регламент по предоставлению органами местного самоуправления Курской области государственной услуги по переданным полномочиям в сфере социальной защиты населения Курской области "Предоставление гражданам компенсаций за вред, нанесенный здоровью вследствие чернобыльской и других радиационных катастроф, компенсации на оздоровление, а также компенсаций семьям за потерю кормильца"
Номер опубликования: 4601201810110003
Дата опубликования: 11.10.2018
Страница №51 из 58:
Увеличить