Официальное опубликование правовых актов
ОФИЦИАЛЬНОЕ ОПУБЛИКОВАНИЕ
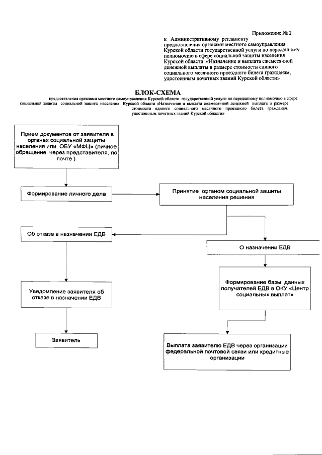
Приказ Комитета социального обеспечения Курской области от 04.10.2018 № 269 "О внесении изменений в Административный регламент по предоставлению органами местного самоуправления Курской области государственной услуги по переданному полномочию в сфере социальной защиты населения Курской области "Назначение и выплата ежемесячной денежной выплаты в размере стоимости единого социального месячного проездного билета гражданам, удостоенным почетных званий Курской области"
Номер опубликования: 4601201810080012
Дата опубликования: 08.10.2018
Страница №45 из 51:
Увеличить