Официальное опубликование правовых актов
ОФИЦИАЛЬНОЕ ОПУБЛИКОВАНИЕ
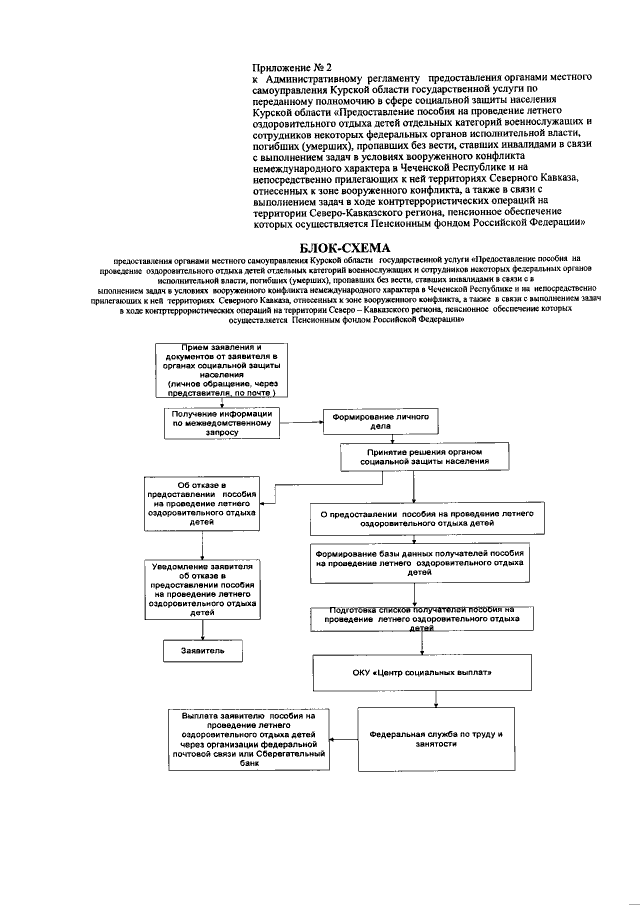
Приказ Комитета социального обеспечения Курской области от 04.10.2018 № 268 "О внесении изменений в Административный регламент по предоставлению органами местного самоуправления Курской области государственной услуги по переданному полномочию в сфере социальной защиты населения Курской области "Предоставление пособия на проведение летнего оздоровительного отдыха детей отдельных категорий военнослужащих и сотрудников некоторых федеральных органов исполнительной власти, погибших (умерших), пропавших без вести, ставших инвалидами в связи с выполнением задач в условиях вооруженного конфликта немеждународного характера в Чеченской Республике и на непосредственно прилегающих к ней территориях Северного Кавказа, отнесенных к зоне вооруженного конфликта, а также в связи с выполнением задач в ходе контртеррористических операций на территории Северо-Кавказского региона, пенсионное обеспечение которых осуществляется Пенсионным фондом Российской Федерации"
Номер опубликования: 4601201810080001
Дата опубликования: 08.10.2018
Страница №40 из 48:
Увеличить