Официальное опубликование правовых актов
ОФИЦИАЛЬНОЕ ОПУБЛИКОВАНИЕ
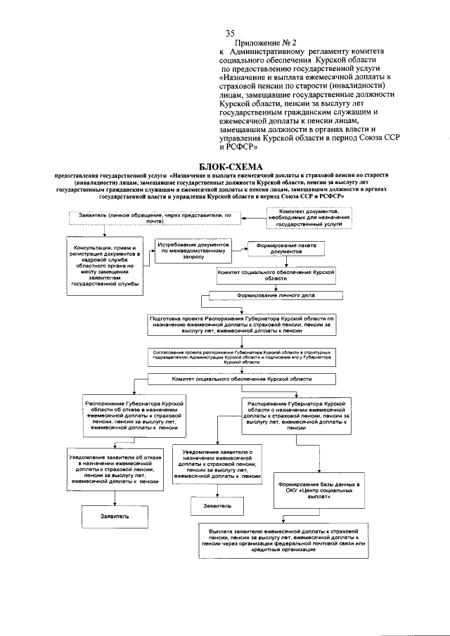
Приказ Комитета социального обеспечения Курской области от 04.10.2018 № 266 "О внесении изменений в Административный регламент комитета социального обеспечения Курской области по предоставлению государственной услуги "Назначение и выплата ежемесячной доплаты к страховой пенсии по старости (инвалидности) лицам, замещавшим государственные должности Курской области, пенсии за выслугу лет государственным гражданским служащим и ежемесячной доплаты к пенсии лицам, замещавшим должности в органах государственной власти и управления Курской области в период Союза ССР и РСФСР"
Номер опубликования: 4601201810050005
Дата опубликования: 05.10.2018
Страница №36 из 50:
Увеличить