Официальное опубликование правовых актов
ОФИЦИАЛЬНОЕ ОПУБЛИКОВАНИЕ
Приказ Комитета социального обеспечения Курской области от 18.09.2018 № 235
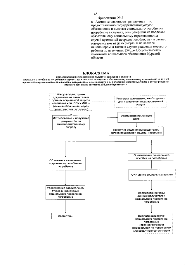
"О внесении изменений в Административный регламент по предоставлению органами местного самоуправления Курской области государственной услуги по переданному полномочию в сфере социальной защиты населения Курской области "Назначение и выплата социального пособия на погребение в случаях, если умерший не подлежал обязательному социальному страхованию на случай временной нетрудоспособности и в связи с материнством на день смерти и не являлся пенсионером, а также в случае рождения мертвого ребенка по истечении 154 дней беременности"
Номер опубликования: 4601201809200007
Дата опубликования: 20.09.2018
Страница №46 из 53:
Увеличить