Официальное опубликование правовых актов
ОФИЦИАЛЬНОЕ ОПУБЛИКОВАНИЕ
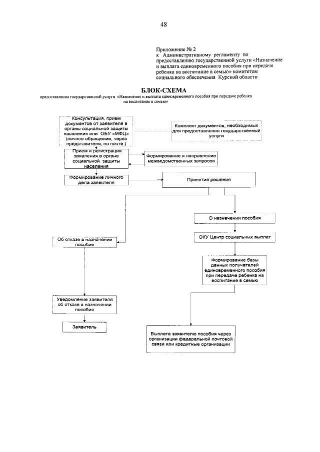
Приказ Комитета социального обеспечения Курской области от 19.09.2018 № 240
"О внесении изменений в Административный регламент по предоставлению органами местного самоуправления Курской области государственной услуги по переданному полномочию в сфере социальной защиты населения Курской области "Назначение и выплата единовременного пособия при передаче ребенка на воспитание в семью"
Номер опубликования: 4601201809200006
Дата опубликования: 20.09.2018
Страница №49 из 56:
Увеличить