Приказ Комитета социального обеспечения Курской области от 19.09.2018 № 239
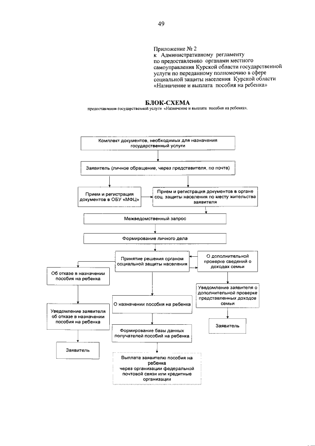
"О внесении изменений в Административный регламент по предоставлению органами местного самоуправления Курской области государственной услуги по переданному полномочию в сфере социальной защиты населения Курской области "Назначение и выплата пособия на ребенка"
"О внесении изменений в Административный регламент по предоставлению органами местного самоуправления Курской области государственной услуги по переданному полномочию в сфере социальной защиты населения Курской области "Назначение и выплата пособия на ребенка"
Номер опубликования: 4601201809200003
Дата опубликования:
20.09.2018
