Официальное опубликование правовых актов
ОФИЦИАЛЬНОЕ ОПУБЛИКОВАНИЕ
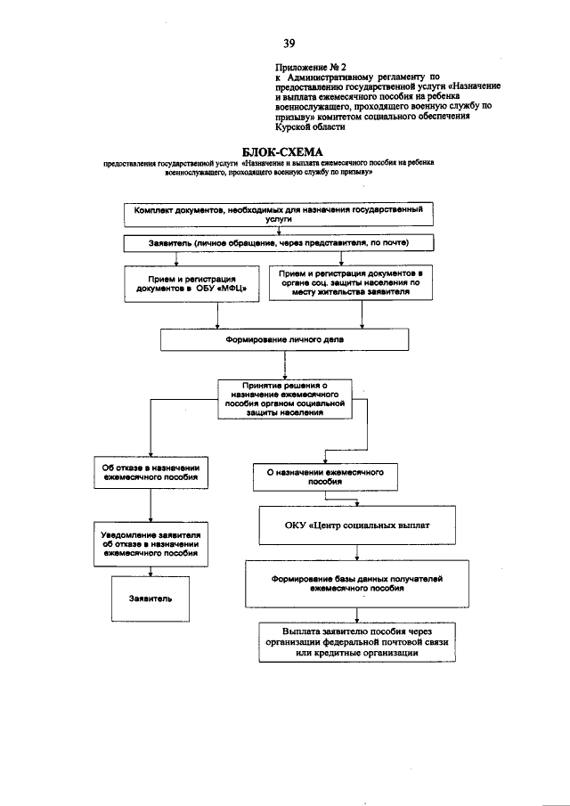
Приказ Комитета социального обеспечения Курской области от 22.03.2018 № 95 "О внесении изменений в Административный регламент по предоставлению органами местного самоуправления Курской области государственной услуги по переданному полномочию в сфере социальной защиты населения Курской области "Назначение и выплата ежемесячного пособия на ребенка военнослужащего, проходящего военную службу по призыву"
Номер опубликования: 4601201803230003
Дата опубликования: 23.03.2018
Страница №40 из 47:
Увеличить