Официальное опубликование правовых актов
ОФИЦИАЛЬНОЕ ОПУБЛИКОВАНИЕ
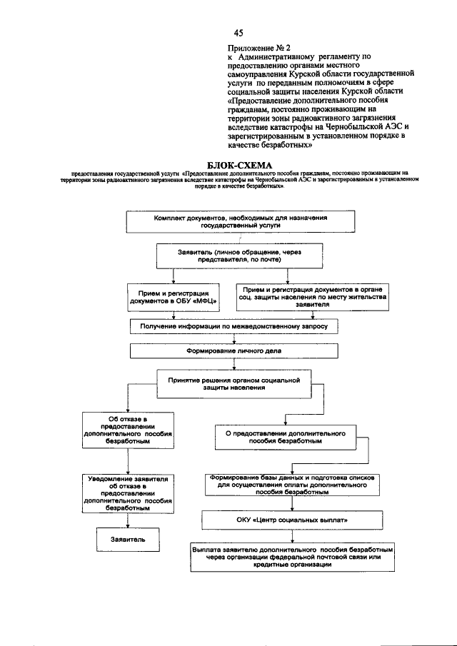
Приказ Комитета социального обеспечения Курской области от 18.12.2017 № 247 "О внесении изменений в Административный регламент по предоставлению органами местного самоуправления Курской области государственной услуги по переданным полномочиям в сфере социальной защиты населения Курской области "Предоставление дополнительного пособия гражданам, постоянно проживающим на территории зоны радиоактивного загрязнения вследствие катастрофы на Чернобыльской АЭС и зарегистрированным в установленном порядке в качестве безработных"
Номер опубликования: 4601201712210029
Дата опубликования: 21.12.2017
Страница №46 из 53:
Увеличить