Официальное опубликование правовых актов
ОФИЦИАЛЬНОЕ ОПУБЛИКОВАНИЕ
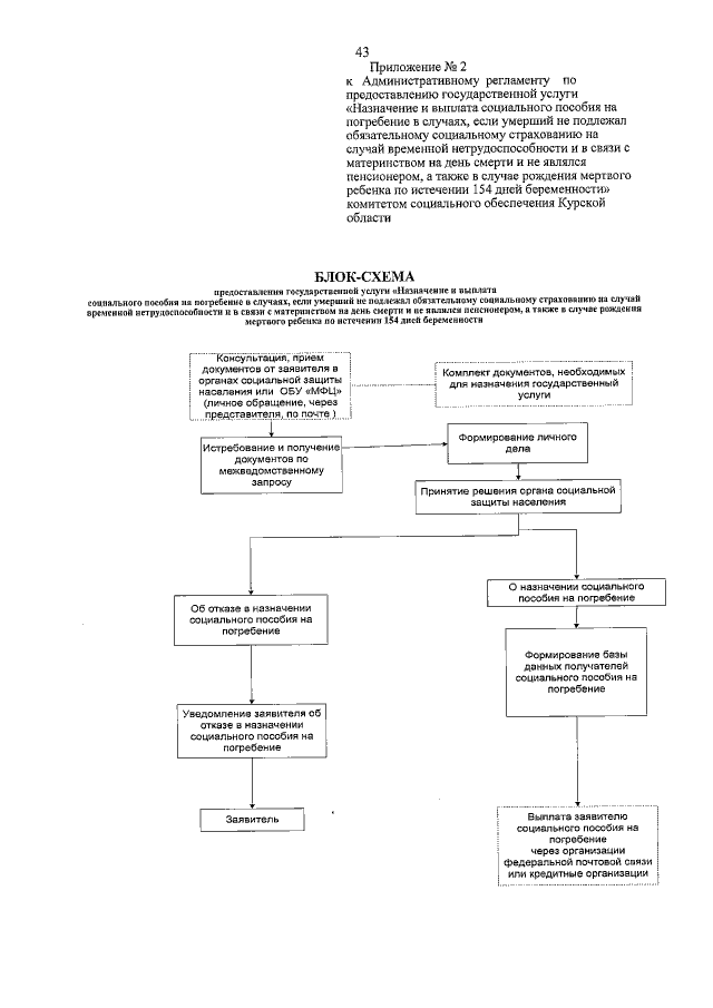
Приказ Комитета социального обеспечения Курской области от 07.11.2017 № 200 "О внесении изменений в Административный регламент по предоставлению органами местного самоуправления Курской области государственной услуги по переданному полномочию в сфере социальной защиты населения Курской области "Назначение и выплата социального пособия на погребение в случаях, если умерший не подлежал обязательному социальному страхованию на случай временной нетрудоспособности и в связи с материнством на день смерти и не являлся пенсионером, а также в случае рождения мертвого ребенка по истечении 154 дней беременности"
Номер опубликования: 4601201711130005
Дата опубликования: 13.11.2017
Страница №44 из 51:
Увеличить