Официальное опубликование правовых актов
ОФИЦИАЛЬНОЕ ОПУБЛИКОВАНИЕ
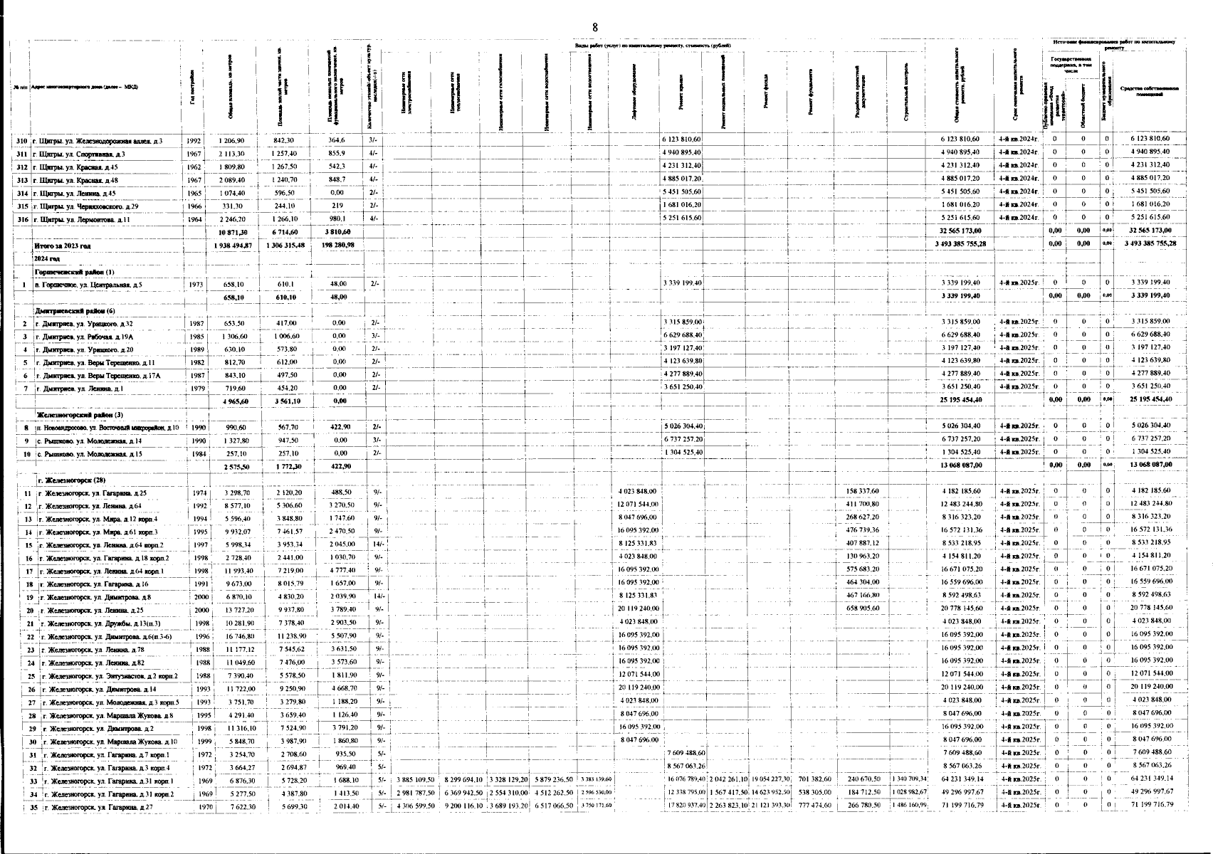
Постановление Правительства Курской области от 30.12.2025 № 1072-пп
"О внесении изменений в краткосрочный план реализации Региональной программы капитального ремонта общего имущества в многоквартирных домах, расположенных на территории Курской области, на 2023 — 2025 годы"
Номер опубликования: 4600202512300030
Дата опубликования: 30.12.2025
Страница №9 из 27:
Увеличить