Официальное опубликование правовых актов
ОФИЦИАЛЬНОЕ ОПУБЛИКОВАНИЕ
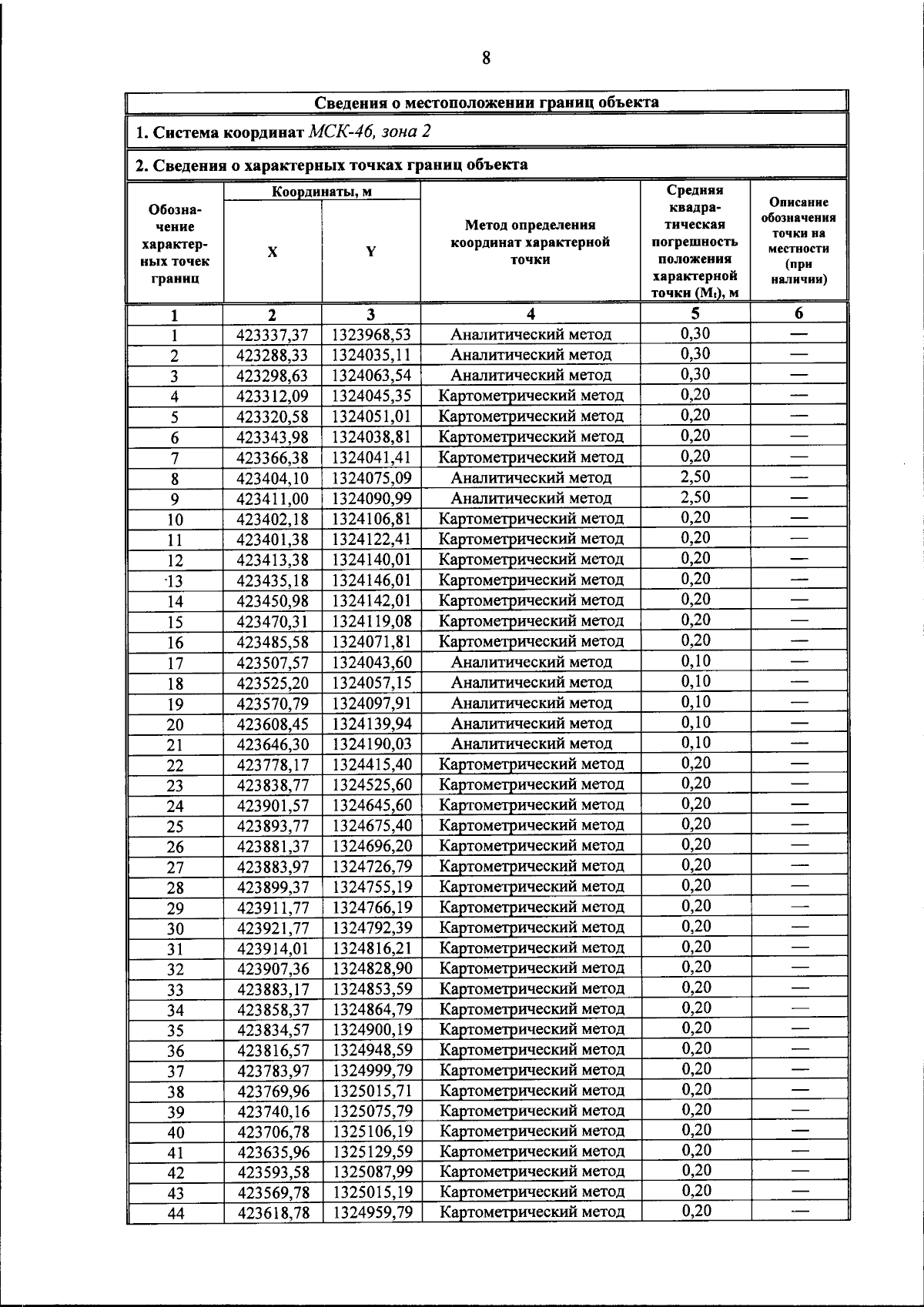
Постановление Губернатора Курской области от 13.10.2025 № 240-пг
"Об установлении охранной зоны памятника природы регионального значения "Урочище Пискловское болото"
Номер опубликования: 4600202510170007
Дата опубликования: 17.10.2025
Страница №13 из 33:
Увеличить