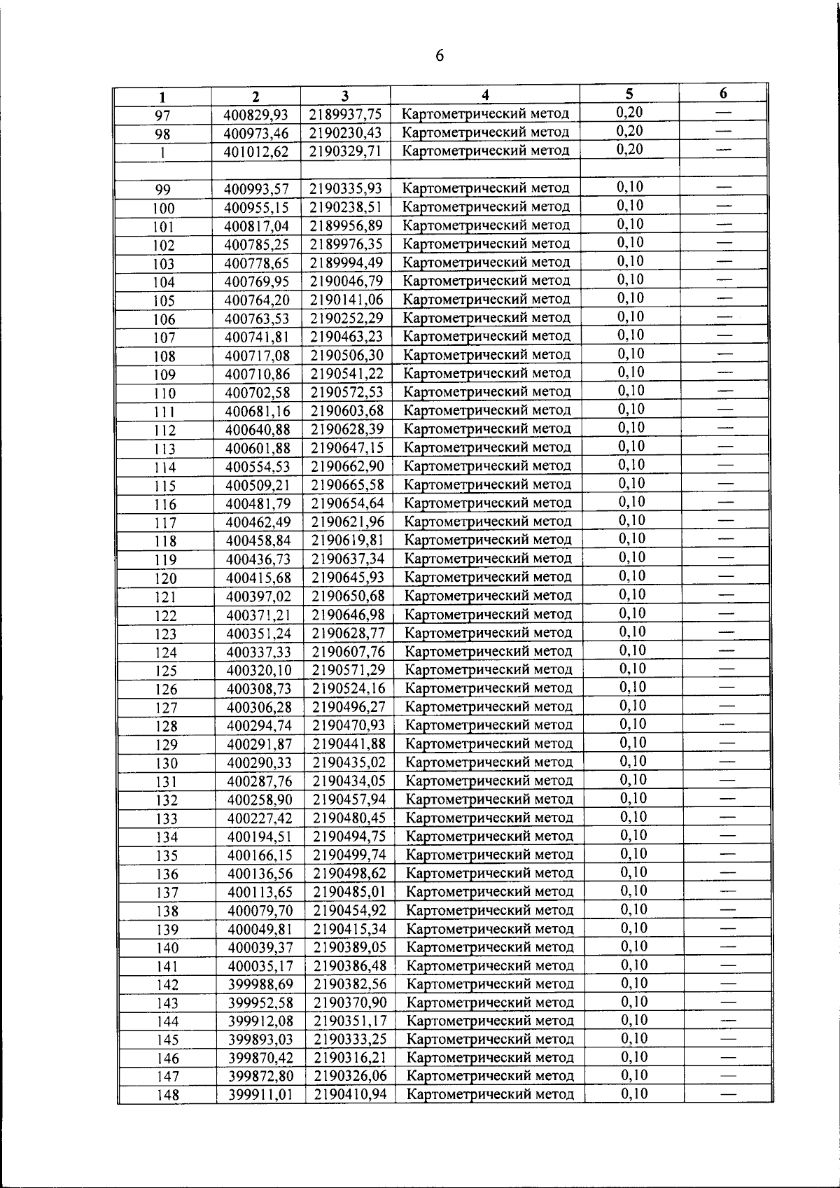
Постановление Губернатора Курской области от 06.10.2025 № 236-пг
"Об установлении охранной зоны памятника природы регионального значения "Урочище Шатилов лог"
"Об установлении охранной зоны памятника природы регионального значения "Урочище Шатилов лог"
Номер опубликования: 4600202510090006
Дата опубликования:
09.10.2025
