Официальное опубликование правовых актов
ОФИЦИАЛЬНОЕ ОПУБЛИКОВАНИЕ
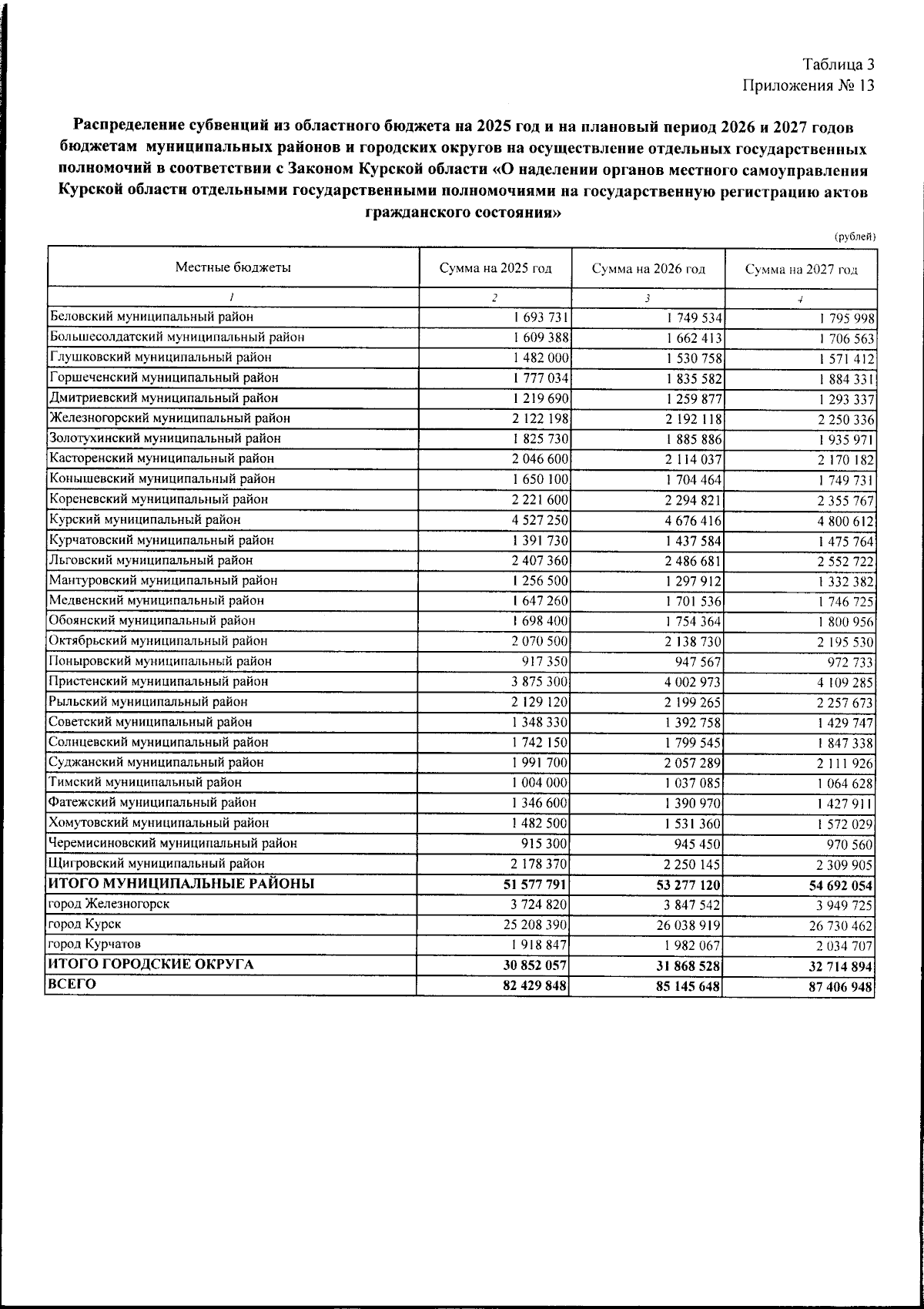
Закон Курской области от 14.05.2025 № 28-ЗКО
"О внесении изменений в Закон Курской области "Об областном бюджете на 2025 год и на плановый период 2026 и 2027 годов"
Номер опубликования: 4600202505190003
Дата опубликования: 19.05.2025
Страница №374 из 391:
Увеличить