Официальное опубликование правовых актов
ОФИЦИАЛЬНОЕ ОПУБЛИКОВАНИЕ
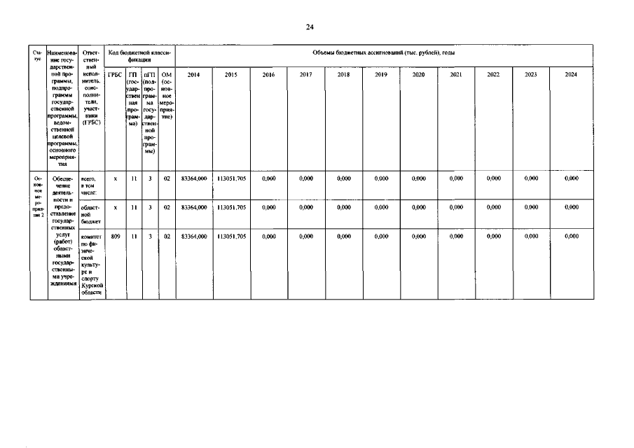
Постановление Администрации Курской области от 30.12.2019 № 1372-па
"О внесении изменений в государственную программу Курской области "Развитие физической культуры и спорта в Курской области"
Номер опубликования: 4600201912310002
Дата опубликования: 31.12.2019
Страница №25 из 27:
Увеличить