Официальное опубликование правовых актов
ОФИЦИАЛЬНОЕ ОПУБЛИКОВАНИЕ
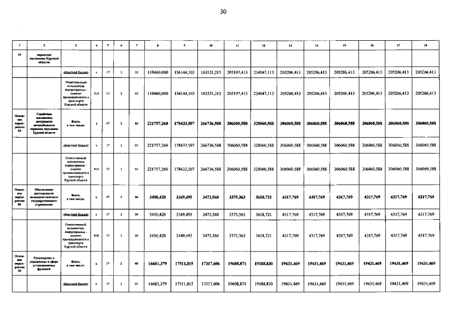
Постановление Администрации Курской области от 30.09.2019 № 915-па
"О внесении изменений в государственную программу Курской области "Развитие транспортной системы, обеспечение перевозки пассажиров в Курской области и безопасности дорожного движения"
Номер опубликования: 4600201910010002
Дата опубликования: 01.10.2019
Страница №31 из 42:
Увеличить