Официальное опубликование правовых актов
ОФИЦИАЛЬНОЕ ОПУБЛИКОВАНИЕ
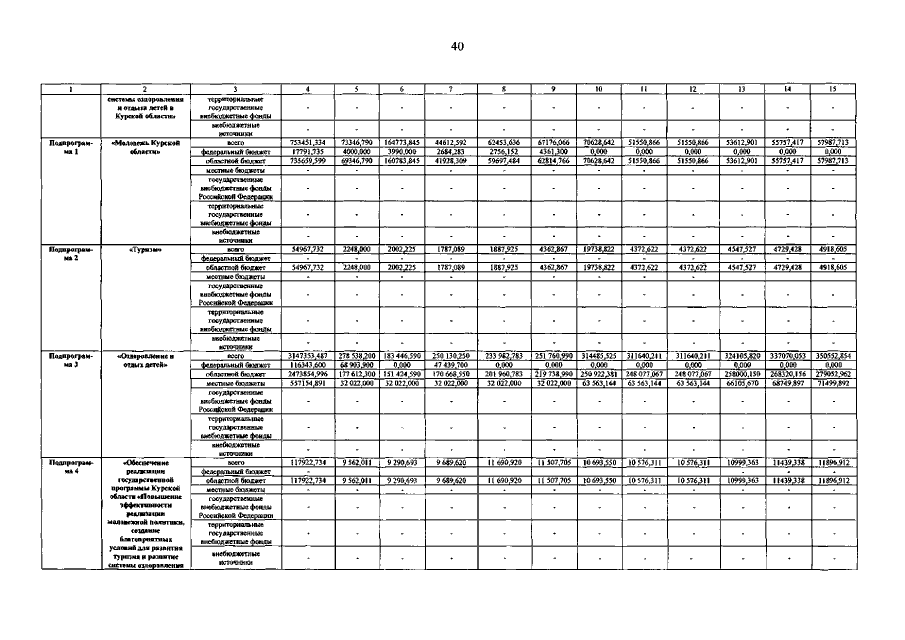
Постановление Администрации Курской области от 06.09.2019 № 861-па
"О внесении изменений в государственную программу Курской области "Повышение эффективности реализации молодежной политики, создание благоприятных условий для развития туризма и развитие системы оздоровления и отдыха детей в Курской области"
Номер опубликования: 4600201909090012
Дата опубликования: 09.09.2019
Страница №41 из 42:
Увеличить