Официальное опубликование правовых актов
ОФИЦИАЛЬНОЕ ОПУБЛИКОВАНИЕ
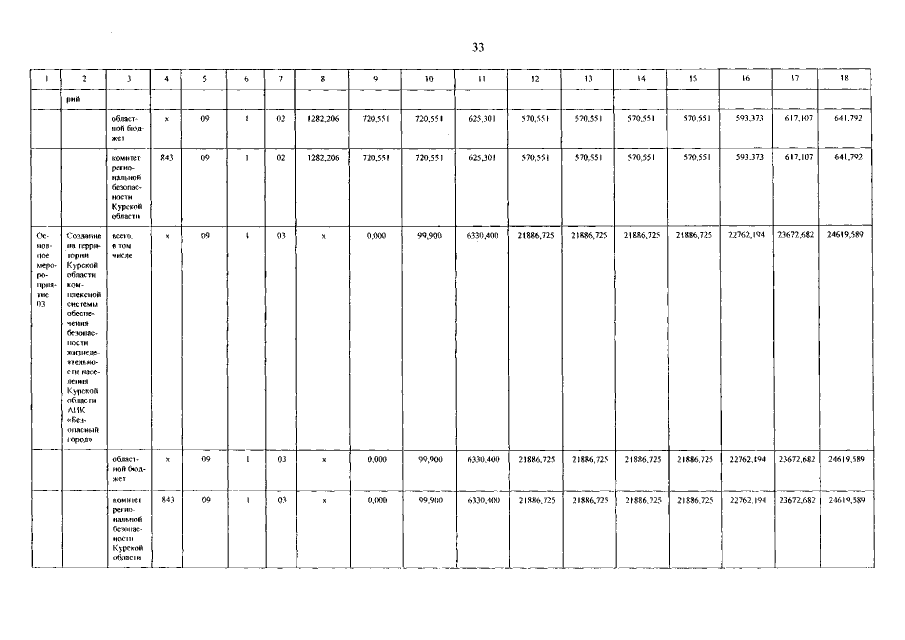
Постановление Администрации Курской области от 02.09.2019 № 828-па
"О внесении изменений в государственную программу Курской области "Защита населения и территорий от чрезвычайных ситуаций, обеспечение пожарной безопасности и безопасности людей на водных объектах"
Номер опубликования: 4600201909050001
Дата опубликования: 05.09.2019
Страница №34 из 54:
Увеличить