Официальное опубликование правовых актов
ОФИЦИАЛЬНОЕ ОПУБЛИКОВАНИЕ
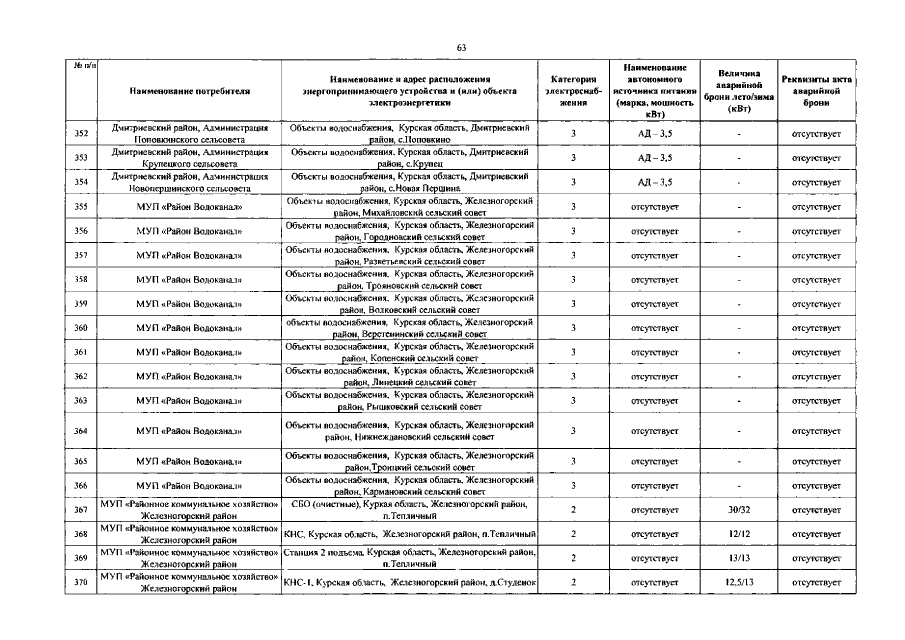
Распоряжение Губернатора Курской области от 21.06.2019 № 192-рг
"Об утверждении Перечня потребителей электрической энергии, ограничение режима потребления электроэнергии которых может привести к экономическим, экологическим или социальным последствиям на территории Курской области, на 2019-2020 годы"
Номер опубликования: 4600201906250010
Дата опубликования: 25.06.2019
Страница №64 из 144:
Увеличить