Официальное опубликование правовых актов
ОФИЦИАЛЬНОЕ ОПУБЛИКОВАНИЕ
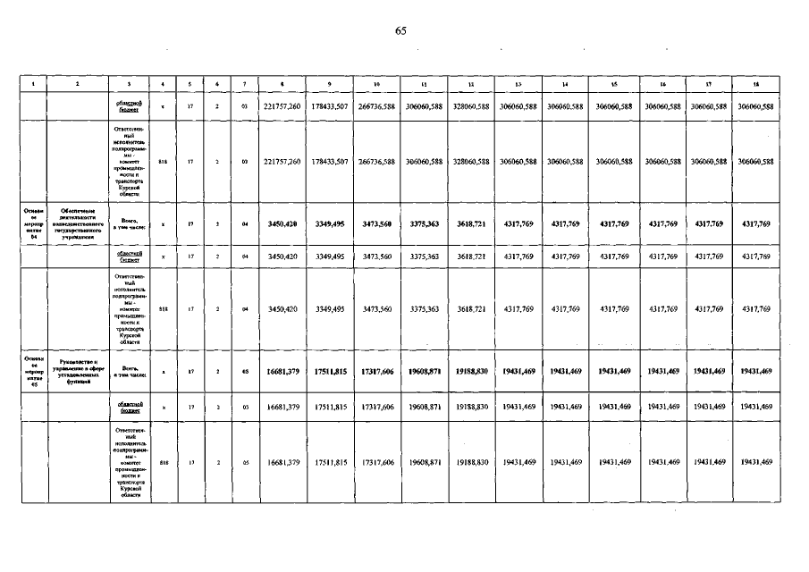
Постановление Администрации Курской области от 20.03.2019 № 218-па
"О внесении изменений в государственную программу Курской области "Развитие транспортной системы, обеспечение перевозки пассажиров в Курской области и безопасности дорожного движения"
Номер опубликования: 4600201903250002
Дата опубликования: 25.03.2019
Страница №66 из 73:
Увеличить