Официальное опубликование правовых актов
ОФИЦИАЛЬНОЕ ОПУБЛИКОВАНИЕ
Постановление Губернатора Курской области от 06.03.2019 № 85-пг
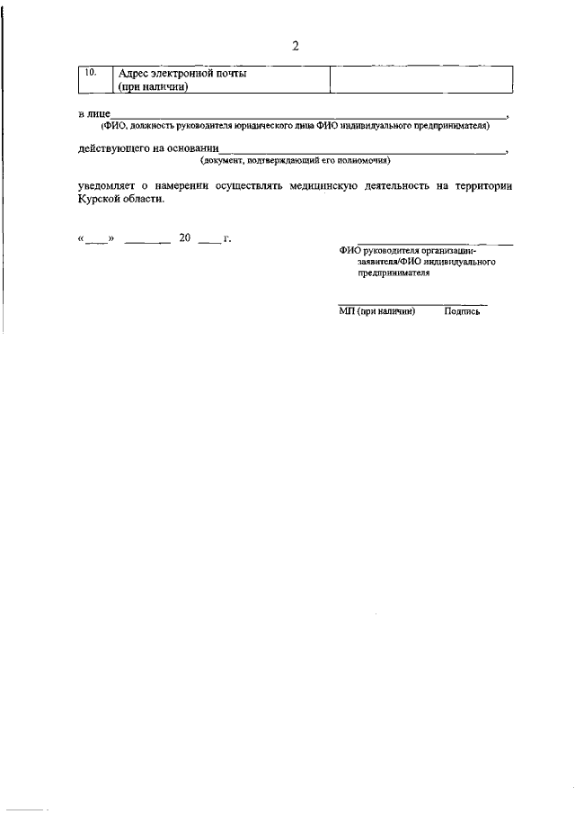
"Об утверждении административного регламента комитета здравоохранения Курской области по предоставлению государственной услуги "Лицензирование медицинской деятельности медицинских организаций (за исключением медицинских организаций, подведомственных федеральным органам исполнительной власти)"
Номер опубликования: 4600201903070002
Дата опубликования: 07.03.2019
Страница №82 из 89:
Увеличить