Официальное опубликование правовых актов
ОФИЦИАЛЬНОЕ ОПУБЛИКОВАНИЕ
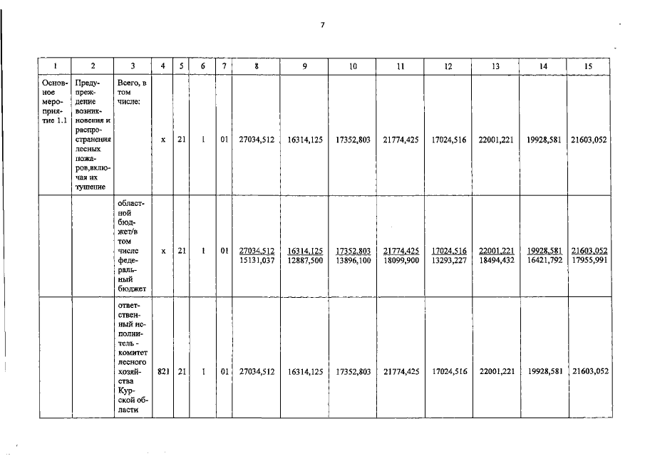
Постановление Администрации Курской области от 03.12.2018 № 966-па
"О внесении изменений в государственную программу Курской области "Развитие лесного хозяйства в Курской области"
Номер опубликования: 4600201812050006
Дата опубликования: 05.12.2018
Страница №8 из 19:
Увеличить