Официальное опубликование правовых актов
ОФИЦИАЛЬНОЕ ОПУБЛИКОВАНИЕ
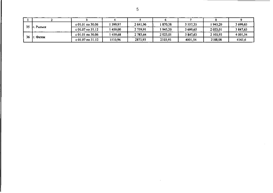
Постановление Администрации Курской области от 19.10.2018 № 830-па
"О внесении изменений в постановление Администрации Курской области от 19.07.2018 № 580-па "Об областных стандартах стоимости жилищно-коммунальных услуг на 2018-2020 годы"
Номер опубликования: 4600201810230012
Дата опубликования: 23.10.2018
Страница №6 из 20:
Увеличить