Официальное опубликование правовых актов
ОФИЦИАЛЬНОЕ ОПУБЛИКОВАНИЕ
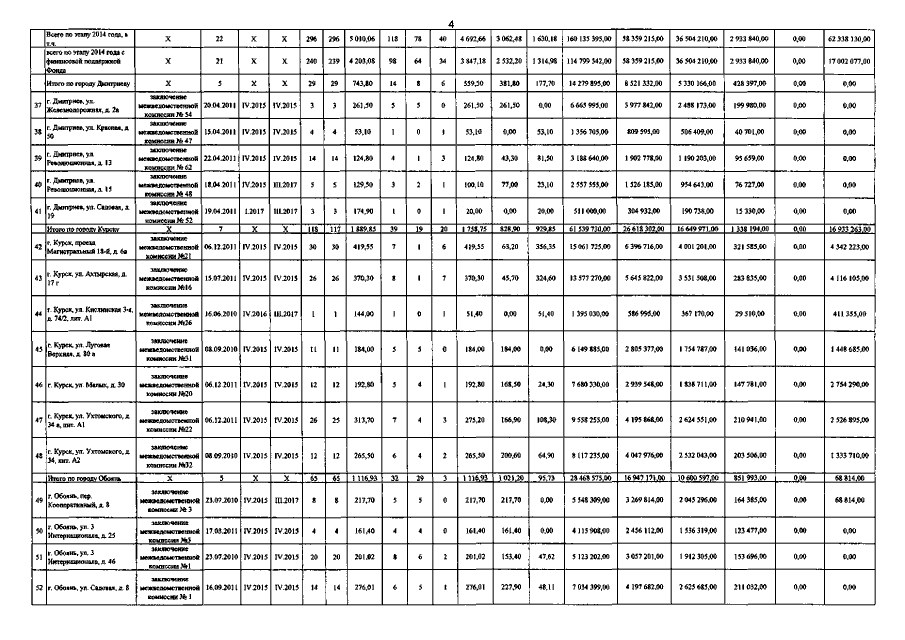
Постановление Администрации Курской области от 09.02.2018 № 87-па
"О внесении изменений в постановление Администрации Курской области от 28.03.2014 № 194-па "Об утверждении адресной программы Курской области по переселению граждан из аварийного жилищного фонда на 2013-2017 (1 сентября) годы"
Номер опубликования: 4600201802130002
Дата опубликования: 13.02.2018
Страница №19 из 29:
Увеличить