Официальное опубликование правовых актов
ОФИЦИАЛЬНОЕ ОПУБЛИКОВАНИЕ
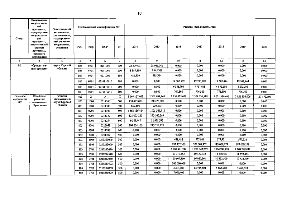
Постановление Администрации Курской области от 12.12.2017 № 1022-па
"О внесении изменений в государственную программу Курской области "Развитие образования в Курской области"
Номер опубликования: 4600201712140020
Дата опубликования: 14.12.2017
Страница №11 из 36:
Увеличить