Официальное опубликование правовых актов
ОФИЦИАЛЬНОЕ ОПУБЛИКОВАНИЕ
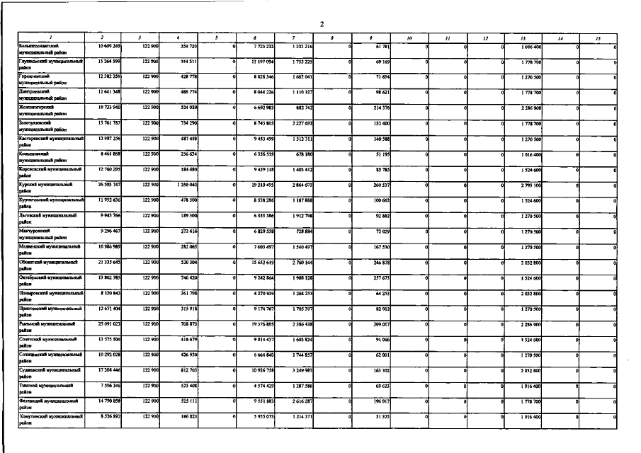
Закон Курской области от 24.11.2017 № 77-ЗКО
"О внесении изменений в Закон Курской области "Об областном бюджете на 2017 год и на плановый период 2018 и 2019 годов"
Номер опубликования: 4600201712010002
Дата опубликования: 01.12.2017
Страница №540 из 542:
Увеличить