Официальное опубликование правовых актов
ОФИЦИАЛЬНОЕ ОПУБЛИКОВАНИЕ
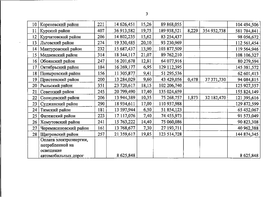
Постановление Администрации Курской области от 03.11.2017 № 875-па
"О внесении изменений в сводные объемы дорожных работ в районах Курской области на 2017 год"
Номер опубликования: 4600201711080011
Дата опубликования: 08.11.2017
Страница №4 из 6:
Увеличить