Официальное опубликование правовых актов
ОФИЦИАЛЬНОЕ ОПУБЛИКОВАНИЕ
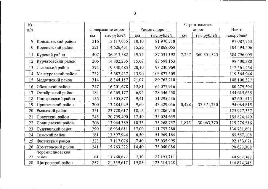
Постановление Администрации Курской области от 20.06.2017 № 498-па
"О внесении изменений в сводные объемы дорожных работ в районах Курской области на 2017 год"
Номер опубликования: 4600201706270003
Дата опубликования: 27.06.2017
Страница №4 из 6:
Увеличить