Официальное опубликование правовых актов
ОФИЦИАЛЬНОЕ ОПУБЛИКОВАНИЕ
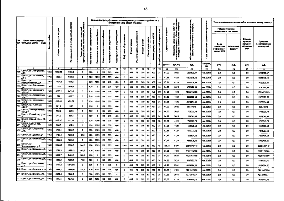
Постановление Администрации Курской области от 26.01.2017 № 35-па
"О внесении изменений в краткосрочный план реализации Региональной программы капитального ремонта общего имущества в многоквартирных домах, расположенных на территории Курской области, на 2014-2016 годы"
Номер опубликования: 4600201702020001
Дата опубликования: 02.02.2017
Страница №46 из 50:
Увеличить