Официальное опубликование правовых актов
ОФИЦИАЛЬНОЕ ОПУБЛИКОВАНИЕ
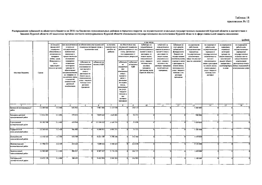
Закон Курской области от 19.08.2016 № 54-зко
"О внесении изменений в Закон Курской области "Об областном бюджете на 2016 год"
Номер опубликования: 4600201608220005
Дата опубликования: 22.08.2016
Страница №271 из 276:
Увеличить