Официальное опубликование правовых актов
ОФИЦИАЛЬНОЕ ОПУБЛИКОВАНИЕ
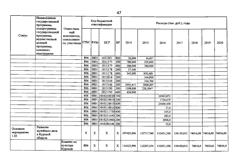
Постановление Администрации Курской области от 11.04.2016 № 205-па
"О внесении изменений в государственную программу Курской области "Развитие культуры в Курской области"
Номер опубликования: 4600201604140010
Дата опубликования: 14.04.2016
Страница №48 из 62:
Увеличить