Официальное опубликование правовых актов
ОФИЦИАЛЬНОЕ ОПУБЛИКОВАНИЕ
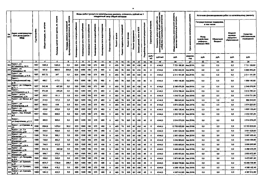
Постановление Администрации Курской области от 16.12.2015 № 888-па
"О внесении изменений в краткосрочный план реализации Региональной программы капитального ремонта общего имущества в многоквартирных домах, расположенных на территории Курской области, на 2014-2016 годы"
Номер опубликования: 4600201512220009
Дата опубликования: 22.12.2015
Страница №24 из 42:
Увеличить