Официальное опубликование правовых актов
ОФИЦИАЛЬНОЕ ОПУБЛИКОВАНИЕ
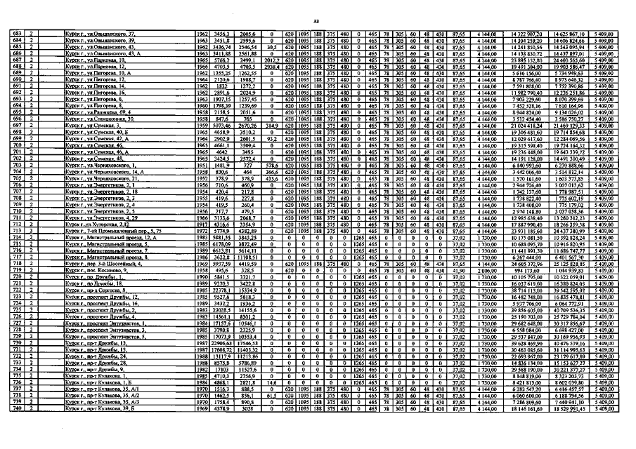
Постановление Администрации Курской области от 30.11.2015 № 833-па
"О внесении изменений в Региональную программу капитального ремонта общего имущества в многоквартирных домах, расположенных на территории Курской области"
Номер опубликования: 4600201512080002
Дата опубликования: 08.12.2015
Страница №45 из 105:
Увеличить