Официальное опубликование правовых актов
ОФИЦИАЛЬНОЕ ОПУБЛИКОВАНИЕ
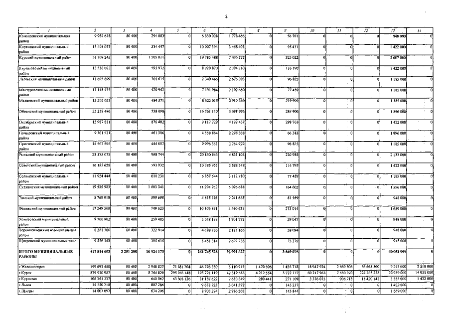
Закон Курской области от 27.11.2015 № 112-ЗКО
"О внесении изменений в Закон Курской области "Об областном бюджете на 2015 год и на плановый период 2016 и 2017 годов"
Номер опубликования: 4600201512070009
Дата опубликования: 07.12.2015
Страница №204 из 209:
Увеличить