Официальное опубликование правовых актов
ОФИЦИАЛЬНОЕ ОПУБЛИКОВАНИЕ
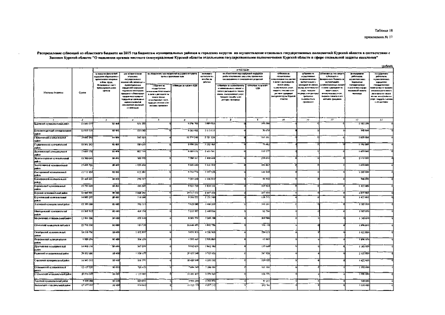
Закон Курской области от 04.09.2015 № 70-ЗКО
"О внесении изменений в Закон Курской области "Об областном бюджете на 2015 год и на плановый период 2016 и 2017 годов"
Номер опубликования: 4600201509110021
Дата опубликования: 11.09.2015
Страница №202 из 204:
Увеличить