Официальное опубликование правовых актов
ОФИЦИАЛЬНОЕ ОПУБЛИКОВАНИЕ
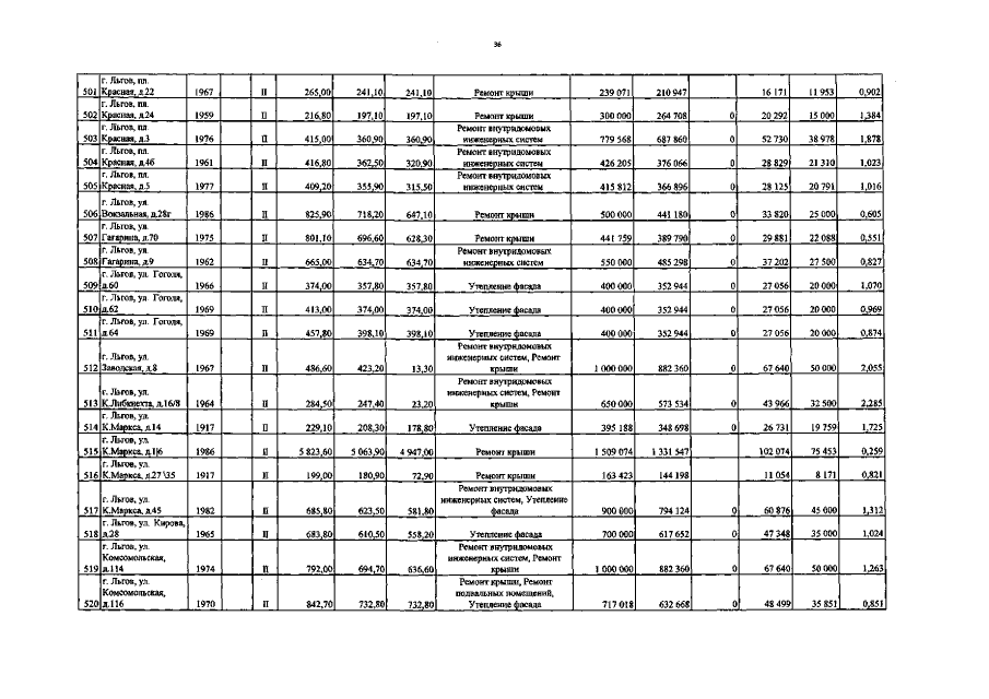
Постановление Администрации Курской области от 04.08.2015 № 490-па
"О внесении изменений в Адресную программу Курской области по проведению капитального ремонта многоквартирных домов на 2009 год"
Номер опубликования: 4600201508110017
Дата опубликования: 11.08.2015
Страница №53 из 115:
Увеличить