Официальное опубликование правовых актов
ОФИЦИАЛЬНОЕ ОПУБЛИКОВАНИЕ
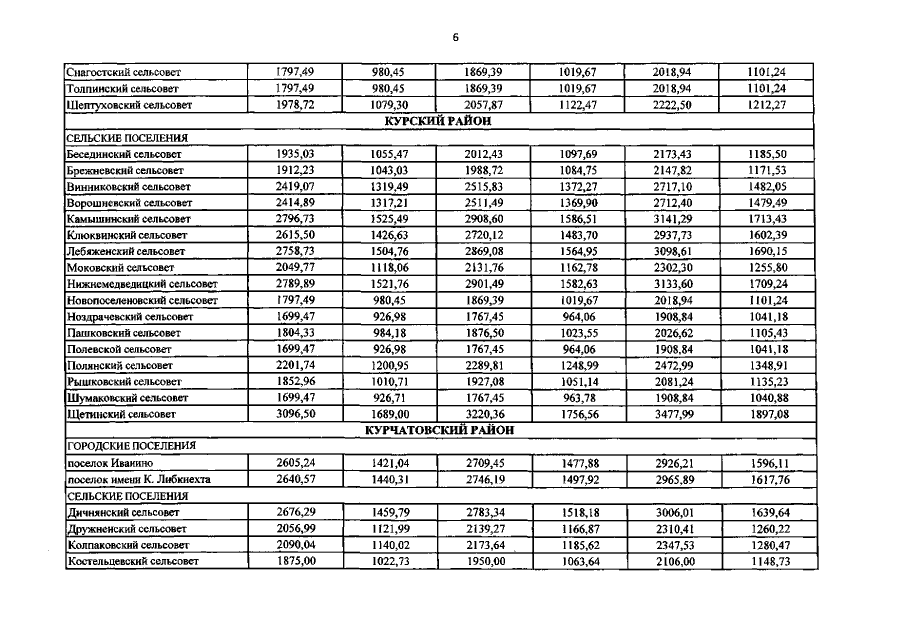
Постановление Администрации Курской области от 04.08.2015 № 487-па
"Об областных стандартах стоимости жилищно-коммунальных услуг на 2015-2017 годы"
Номер опубликования: 4600201508110013
Дата опубликования: 11.08.2015
Страница №17 из 38:
Увеличить