Официальное опубликование правовых актов
ОФИЦИАЛЬНОЕ ОПУБЛИКОВАНИЕ
Постановление Администрации Курской области от 02.04.2015 № 185-па
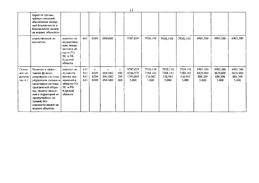
"О внесении изменений в государственную программу Курской области "Защита населения и территорий от чрезвычайных ситуаций, обеспечение пожарной безопасности и безопасности людей на водных объектах"
Номер опубликования: 4600201504030012
Дата опубликования: 03.04.2015
Страница №14 из 19:
Увеличить