Официальное опубликование правовых актов
ОФИЦИАЛЬНОЕ ОПУБЛИКОВАНИЕ
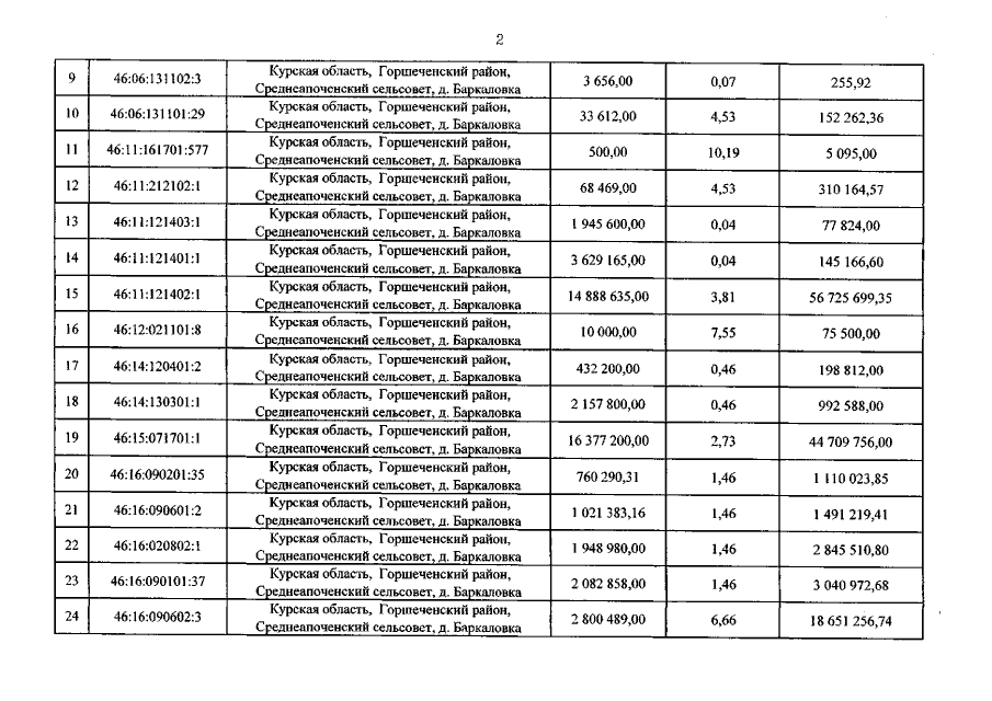
Постановление Администрации Курской области от 29.12.2014 № 898-па
"Об утверждении результатов государственной кадастровой оценки земель особо охраняемых территорий и объектов на территории Курской области"
Номер опубликования: 4600201501040035
Дата опубликования: 04.01.2015
Страница №3 из 5:
Увеличить