Официальное опубликование правовых актов
ОФИЦИАЛЬНОЕ ОПУБЛИКОВАНИЕ
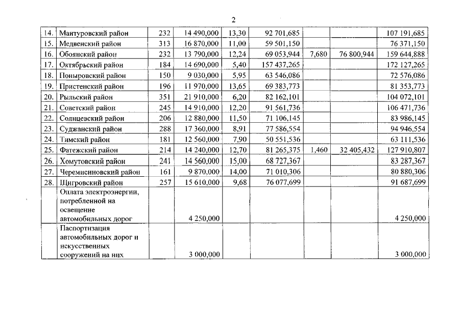
Постановление Администрации Курской области от 29.12.2014 № 889-па
"Об утверждении сводных объемов дорожных работ в районах Курской области на 2015 год"
Номер опубликования: 4600201501040023
Дата опубликования: 04.01.2015
Страница №3 из 4:
Увеличить