Официальное опубликование правовых актов
ОФИЦИАЛЬНОЕ ОПУБЛИКОВАНИЕ
Постановление Департамента государственного регулирования цен и тарифов Курганской области от 19.12.2025 № 60-116
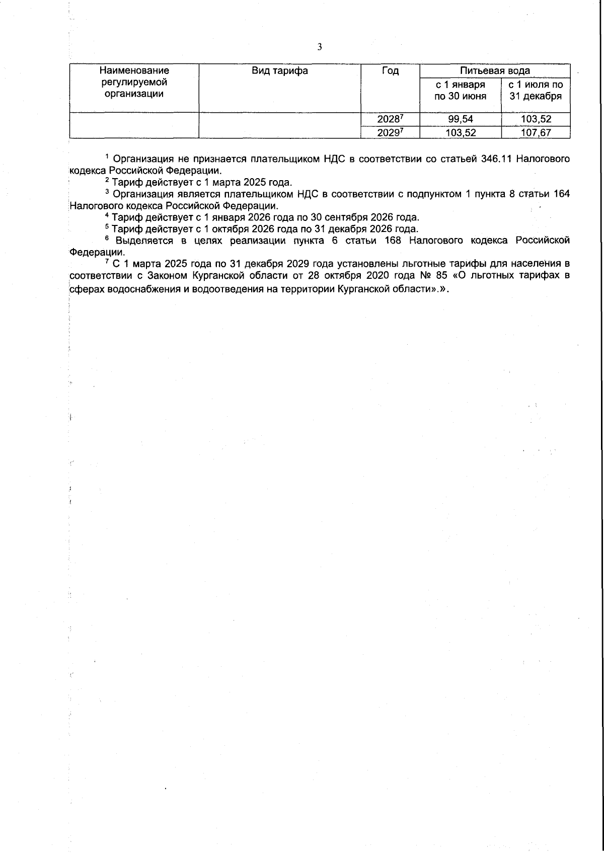
"О внесении изменения в постановление Департамента государственного регулирования цен и тарифов Курганской области от 18 февраля 2025 года № 7-1 "Об установлении тарифов на питьевую воду (питьевое водоснабжение) для потребителей Общества с ограниченной ответственностью "Новомировское домоуправление" (Юргамышский муниципальный округ: р.п. Юргамыш, п.с.т. Новый Мир) с календарной разбивкой"
(Зарегистрирован 19.12.2025 № 250210242)
Номер опубликования: 4501202512250013
Дата опубликования: 25.12.2025
Страница №3 из 3:
Увеличить