Официальное опубликование правовых актов
ОФИЦИАЛЬНОЕ ОПУБЛИКОВАНИЕ
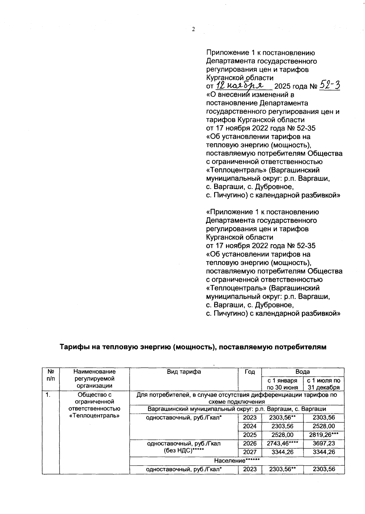
Постановление Департамента государственного регулирования цен и тарифов Курганской области от 12.11.2025 № 52-3
"О внесении изменений в постановление Департамента государственного регулирования цен и тарифов Курганской области от 17 ноября 2022 года № 52-35 "Об установлении тарифов на тепловую энергию (мощность), поставляемую потребителям Общества с ограниченной ответственностью "Теплоцентраль" (Варгашинский муниципальный округ: р.п. Варгаши, с. Варгаши, с. Дубровное, с. Пичугино) с календарной разбивкой"
(Зарегистрирован 12.11.2025 № 250210054)
Номер опубликования: 4501202511130001
Дата опубликования: 13.11.2025
Страница №2 из 5:
Увеличить