Официальное опубликование правовых актов
ОФИЦИАЛЬНОЕ ОПУБЛИКОВАНИЕ
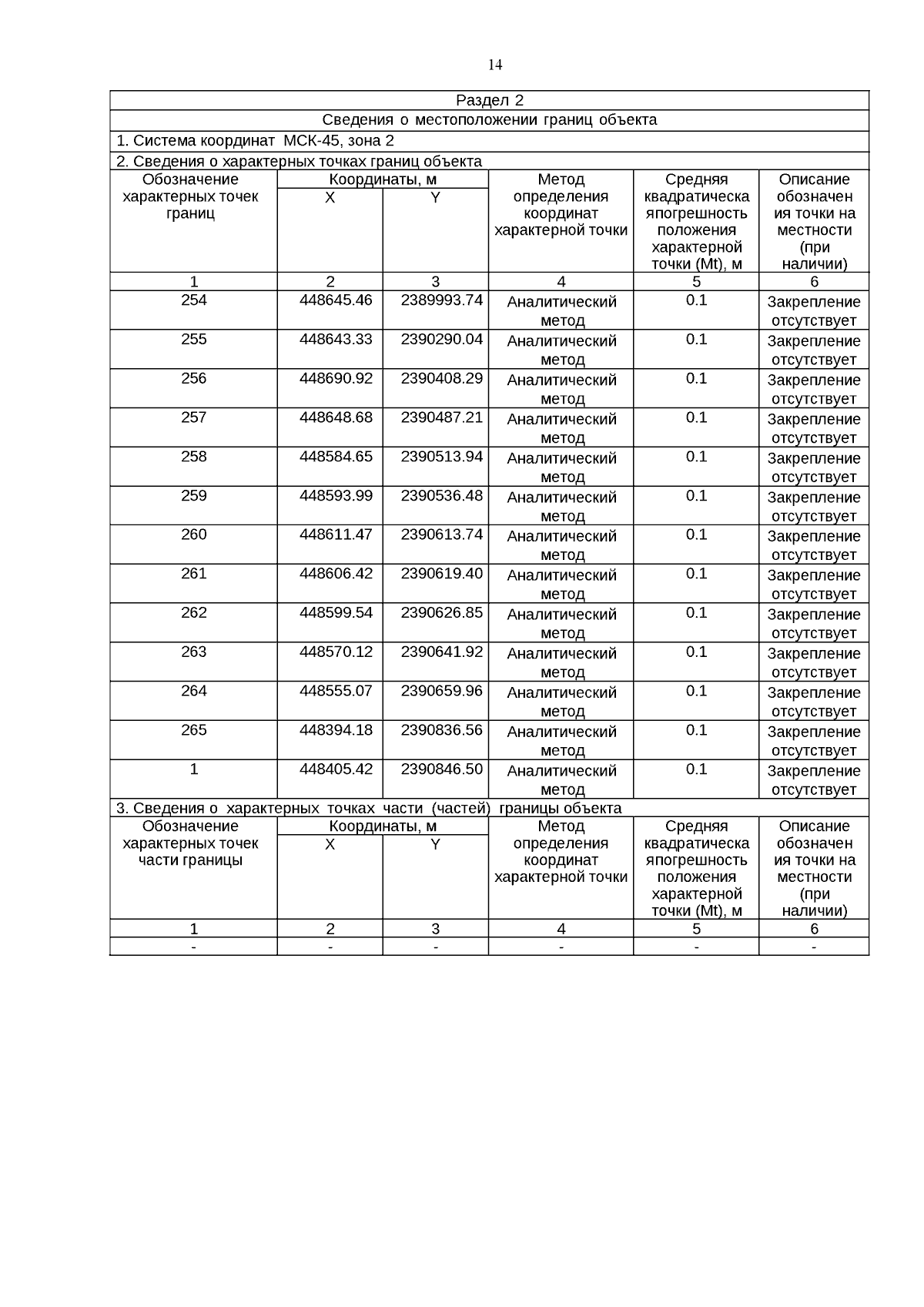
Постановление Департамента имущественных и земельных отношений Курганской области от 17.02.2025 № 15-п
"О внесении изменения в постановление Департамента имущественных и земельных отношений Курганской области от 22 февраля 2023 года № 6-п"
(Зарегистрирован 17.02.2025 № 250510015)
Номер опубликования: 4501202502190001
Дата опубликования: 19.02.2025
Страница №14 из 38:
Увеличить