Официальное опубликование правовых актов
ОФИЦИАЛЬНОЕ ОПУБЛИКОВАНИЕ
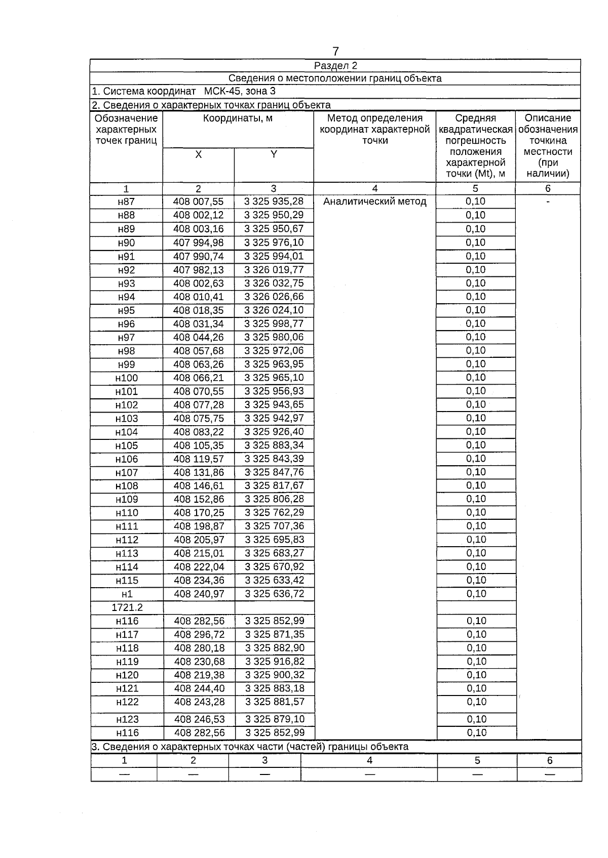
Постановление Департамента имущественных и земельных отношений Курганской области от 20.11.2024 № 50-п
"Об установлении публичного сервитута"
(Зарегистрирован 20.11.2024 № 240510050)
Номер опубликования: 4501202411210008
Дата опубликования: 21.11.2024
Страница №7 из 9:
Увеличить