Официальное опубликование правовых актов
ОФИЦИАЛЬНОЕ ОПУБЛИКОВАНИЕ
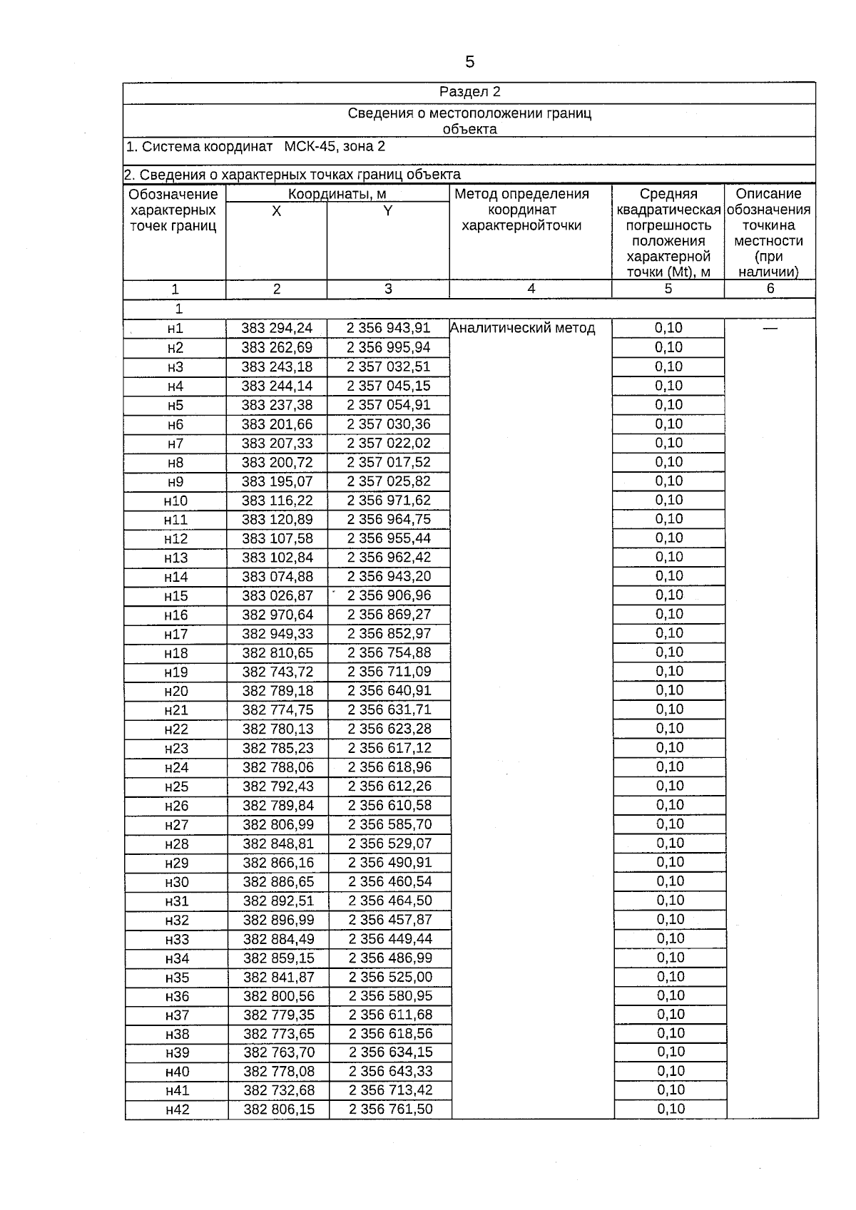
Постановление Департамента имущественных и земельных отношений Курганской области от 20.11.2024 № 48-п
"Об установлении публичного сервитута"
(Зарегистрирован 20.11.2024 № 240510048)
Номер опубликования: 4501202411210001
Дата опубликования: 21.11.2024
Страница №5 из 8:
Увеличить